我院吴明娒教授、周磊副教授团队在X射线成像、辐射测温、应力分布可视化一体化研究中取得新进展
通过合理设计材料,将 X 射线探测/成像和辐射测温的双重能力整合到单一闪烁体中,为先进的多功能辐射传感应用开辟了一条新途径。然而,开发这种功能材料仍是一项挑战。在此,我们报道了一种用于多模态传感应用的多功能 X 射线诱导的长余辉发光SrZnP2O7(SZPO):Dy,Tb 闪烁体,包括应力可视化结构监测、X 射线探测/成像及辐射测温。在紫外线光和 X 射线激发下,Dy3+与Tb3+之间通过电偶极-偶极相互作用机制实现有效的能量转移。SZPO:Dy,Tb表现出明显的应力发光,使得其能够对桥梁等建筑结构进行实时结构健康监测和可视化应力分布映射。用 SZPO:Dy,Tb 制备的柔性薄膜表现出优异的可恢复的长余辉发光和辐射发光,并保持抗热猝灭(ATQ)行为,从而有利于延迟 X 射线成像和可靠的高温辐射探测。利用 Dy3+和 Tb3+发射的独特的温度依赖性辐射发光响应,我们实现了高性能的辐射环境下的荧光强度比光学测温,表现出优异的传感性能。
该研究的创新点在于:通过缺陷工程与能量转移策略结合,在单一材料中实现了X射线发光、长余辉发光、X射线成像、应力监测和光学测温的有机统一;揭示了电偶极-偶极介导的Dy3+ → Tb3+能量传递机制,有效地调控了Tb3+地发光热稳定性,赋予其显著的抗热猝灭特性;基于Dy3+和 Tb3+发射对温度地依赖性,构建了多模式荧光强度比辐射温度计,在300‒475 K范围内实现了高灵敏度和良好重复性的温度传感。该工作为多功能柔性X射线探测器、成像器件和辐射环境监测温度传感器的设计提供了新思路,也建立了通过陷阱工程和掺杂控制开发智能闪烁体的可行范式,有望在同步辐射设施、核工业、医学成像与放射治疗设备、航空航天、高能物理与等离子体研究等领域实现多场景辐射传感应用,为极端工作条件下的精确温度监测和热场诊断提供重要技术支撑。

图1. 用于集成X射线成像、应力可视化结构健康监测和辐射测温的多功能SrZnP2O7:Dy,Tb闪烁体示意图

图2. SrZnP2O7:Dy,Tb的结构及形貌表征

图3. SrZnP2O7:Dy,Tb的辐射发光性及能量传递机制

图4. SrZnP2O7:Dy,Tb的长余辉发光性能及其X射线成像

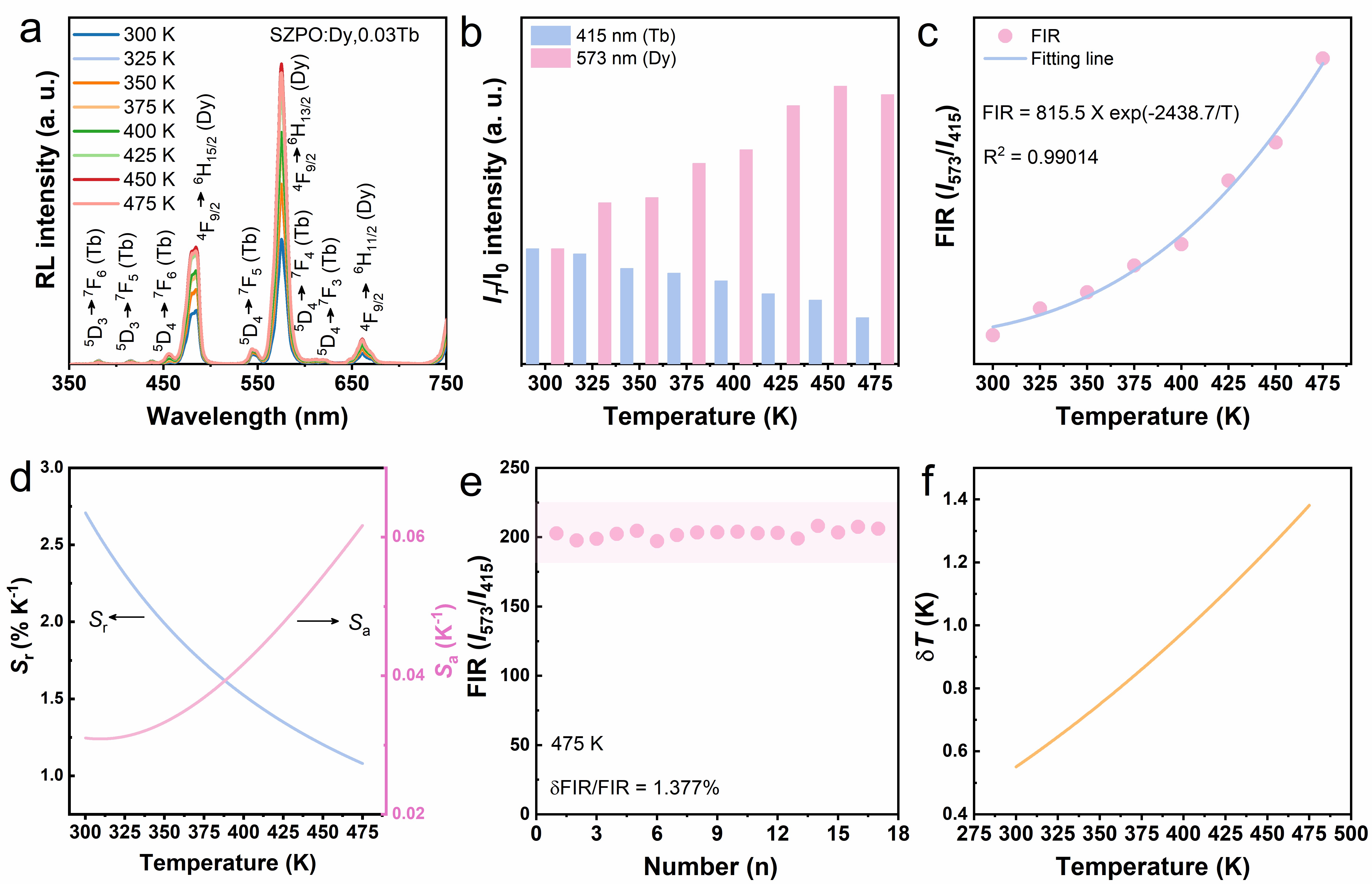
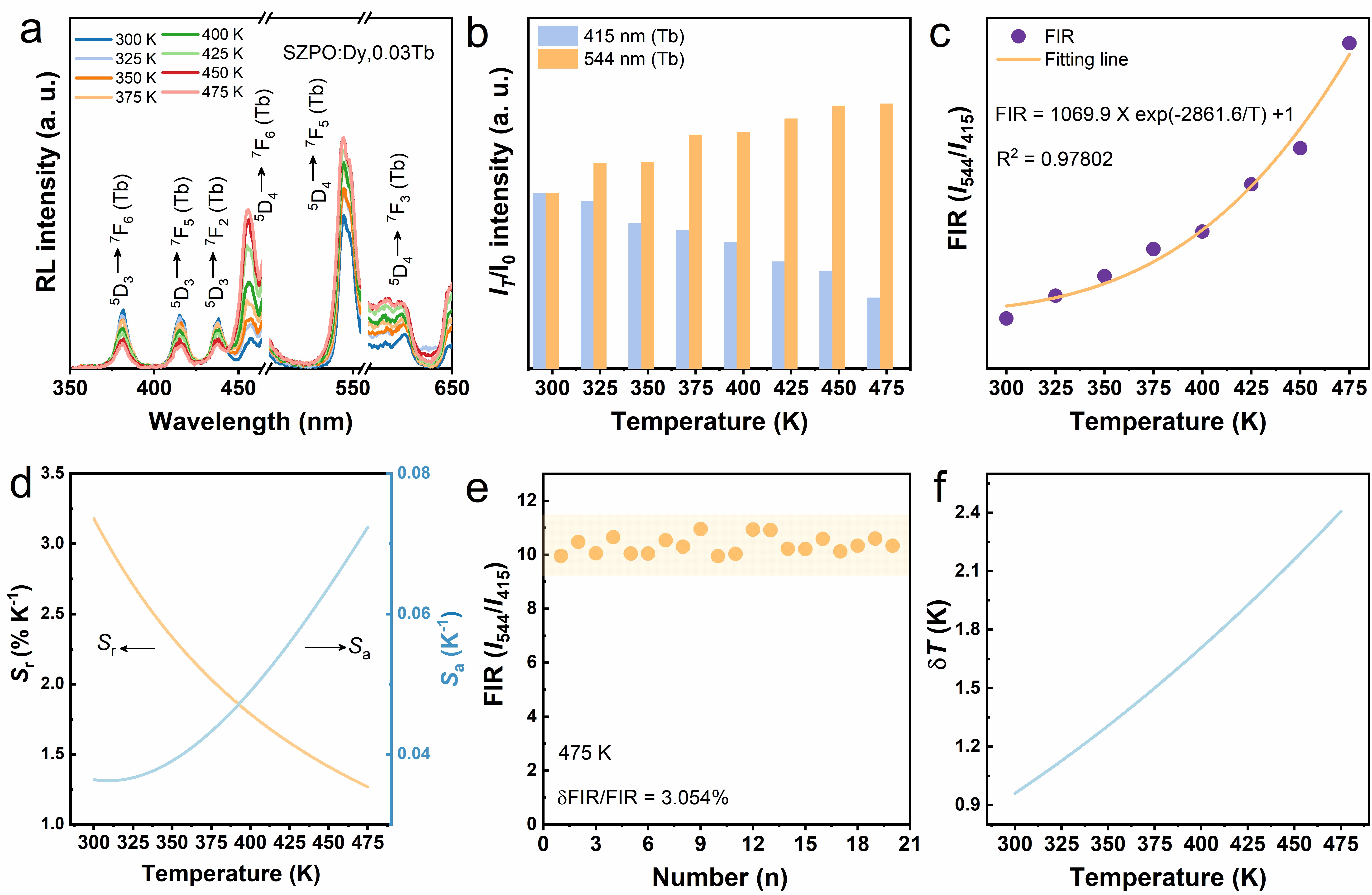
图5. SrZnP2O7:Dy,Tb的辐射测温性能

图6. SrZnP2O7:Dy,Tb的辐射测温性能
上述研究成果近日以“Designing Multifunctional SrZnP2O7:Dy,Tb Scintillator for Integrated X-ray Imaging and Radiation Thermometry”为题发表在Advanced Functional Materials期刊。论文第一作者为中山大学化学工程与技术学院2023级博士研究生向月飞,通讯作者是中山大学化学工程与技术学院周磊副教授。该工作得到国家自然科学基金及其与广东省联合基金等基金和珠海市光电功能材料与膜技术重点实验的支持。
论文链接https://doi.org/10.1002/adfm.75012
